Xuất khẩu sang Trung Quốc năm 2022 đạt hơn 57,7 tỷ USD
Năm 2022, điện thoại các loại và linh kiện là nhóm mặt hàng đạt kim ngạch xuất khẩu lớn nhất sang Trung Quốc, đạt 16,2 tỷ USD, tăng 7,1% so với cùng kỳ năm trước, chiếm 28,1% tỷ trọng xuất khẩu.
![]() |
| Điện thoại các loại và linh kiện là nhóm mặt hàng đạt kim ngạch xuất khẩu lớn nhất sang Trung Quốc |
Theo số liệu thống kê của Tổng cục hải quan, kim ngạch xuất khẩu hàng hóa Việt Nam sang thị trường Trung Quốc trong năm 2022 đạt hơn 57,7 tỷ USD, tăng 3,1% so với năm trước.
Trong năm 2022, điện thoại các loại và linh kiện là nhóm mặt hàng đạt kim ngạch xuất khẩu lớn nhất, đạt 16,2 tỷ USD, tăng 7,1% so với cùng kỳ năm trước, chiếm 28,1% tỷ trọng xuất khẩu. Tiếp đến là nhóm hàng máy vi tính, sản phẩm điện tử và linh kiện đạt 11,8 tỷ USD, tăng 7,2%, chiếm 20,6% tỷ trọng xuất khẩu.
Những nhóm mặt hàng có kim ngạch xuất khẩu tăng trưởng trong năm 2022 so với cùng kỳ năm trước: Máy ảnh, máy quay phim và linh kiện tăng 28,2%; gỗ và sản phẩm gỗ tăng 43,7%; hàng thủy sản tăng 61,2%; xăng dầu các loại tăng 85,9%; đồ chơi dụng cụ thể thao và bộ phận tăng 72,9%; than tăng 36 lần.
Trung Quốc là thị trường tiêu thụ chủ lực của nhiều ngành hàng xuất khẩu của nước ta. Vì vậy, việc nước Trung Quốc mở cửa thị trường trở lại từ đầu năm 2023 mang đến kỳ vọng lớn cho các doanh nghiệp, ngành hàng, nhất là rau quả, thủy sản, xơ sợi, xi măng, cao su, thép, dệt may, gạo…
Trên thực tế, từ đầu tháng 12/2022, Trung Quốc đã bắt đầu nới lỏng dần các biện pháp phòng, chống Covid-19 và dự kiến mở cửa hoàn toàn nền kinh tế vào quý II/2023. Về tổng thể, điều này sẽ tác động tích cực lên hoạt động của nhiều doanh nghiệp Việt Nam.
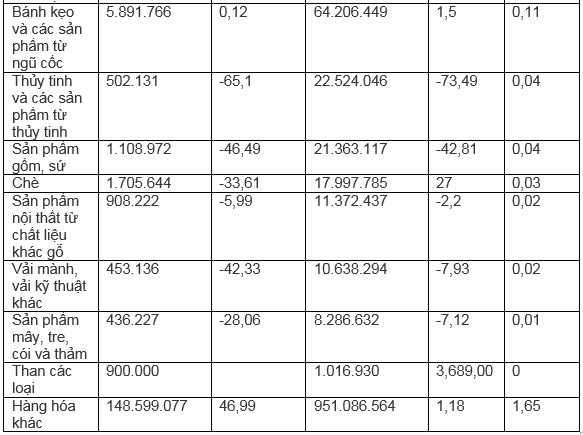
Số liệu xuất khẩu sang Trung Quốc năm 2022
(Tính toán số liệu công bố ngày 10/1 của TCHQ)
![]() |
![]() |
![]() |
![]() |












