Xuất khẩu sang Thái Lan năm 2022 đạt 7,4 tỷ USD
Trong năm 2022, dẫn đầu kim ngạch xuất khẩu sang Thái Lan là nhóm hàng điện thoại các loại và linh kiện, đạt 1 tỷ USD, tăng 7,3% so với năm trước, chiếm 13,4% tỷ trọng xuất khẩu.
![]() |
| Dẫn đầu kim ngạch xuất khẩu sang Thái Lan là nhóm hàng hàng điện thoại các loại và linh kiện |
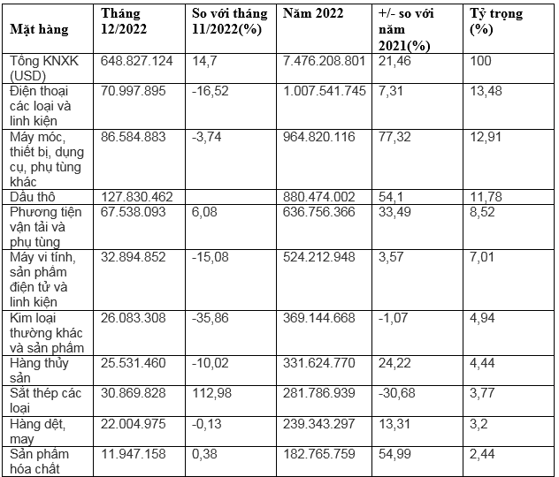
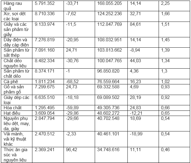
Theo số liệu thống kê của Tổng cục hải quan, kim ngạch xuất khẩu hàng hóa Việt Nam sang thị trường Thái Lan trong tháng 12/2022 đạt 648,8 triệu USD, tăng 14,7% so với tháng trước đó, tính chung năm 2022 kim ngạch xuất khẩu đạt 7,4 tỷ USD, tăng 21,4% so với cùng kỳ năm trước.
Trong năm 2022, dẫn đầu kim ngạch xuất khẩu là nhóm hàng hàng điện thoại các loại và linh kiện, đạt 1 tỷ USD, tăng 7,3% so với năm trước, chiếm 13,4% tỷ trọng xuất khẩu. Tiếp đến là nhóm hàng máy móc, thiết bị, dụng cụ và phụ tùng đạt 964,8 triệu USD, tăng 77,3%, chiếm 12,9% tỷ trọng xuất khẩu. Tiếp theo là mặt hàng dầu thô đạt 880,4 triệu USD, tăng 54,1%, chiếm 11,8% tỷ trọng.
Một số nhóm mặt hàng xuất khẩu sang Thái Lan trong năm 2022 tăng trưởng khá so với cùng kỳ năm trước đó: Sản phẩm hóa chất tăng 54,9%; giấy và các sản phẩm từ giấy tăng 84,6%; phân bón các loại tăng 124,8%; than các loại tăng 140,2%; đá quý kim loại quý và sản phẩm tăng 104,2%.
Hai bên Việt Nam và Thái Lan đã thống nhất một số định hướng, giải pháp, kế hoạch hoạt động cụ thể cho quan hệ hợp tác giữa hai nước trong giai đoạn tới là: Tiếp tục phối hợp chặt chẽ hơn trong việc tạo môi trường thuận lợi cho hoạt động xuất nhập khẩu của các doanh nghiệp. Trong khi đó cần phải chú ý hơn tới các giải pháp phát triển thương mại theo hướng cân bằng hơn, cùng có lợi.
Với một số biện pháp cụ thể như: giảm tối đa việc áp dụng và tìm phương hướng giải quyết các rào cản thương mại không cần thiết nhằm đảm bảo sự vận hành bình thường của các chuỗi cung ứng. Thiết lập kênh trao đổi thông tin giữa các cơ quan phụ trách lĩnh vực phòng vệ thương mại.
Đồng thời, phối hợp tổ chức các hoạt động xúc tiến thương mại tại Thái Lan và Việt Nam, khuyến khích các tập đoàn bán lẻ của Thái Lan làm cầu nối đưa hàng hoá Việt Nam đến với người tiêu dùng Thái Lan và người tiêu dùng tại các nước mà Thái Lan có đầu tư phát triển hệ thống phân phối.
Số liệu xuất khẩu sang Thái Lan năm 2022
(Tính toán số liệu công bố ngày 11/1 của TCHQ)
![]() |
![]() |
![]() |












