Xuất khẩu sang Thái Lan 8 tháng đạt 4,8 tỷ USD
8 tháng năm 2022, kim ngạch xuất khẩu hàng hóa Việt Nam sang thị trường Thái Lan đạt 4,8 tỷ USD, tăng 23,6% so với cùng kỳ năm trước.
| Xuất khẩu hàng hóa sang Thái Lan 7 tháng đạt 4,1 tỷ USD Hàng Việt Nam được ưa chuộng tại thị trường Thái Lan Giá đường khởi sắc sau khi áp thuế phòng vệ thương mại với đường xuất xứ Thái Lan |
![]() |
| Điện thoại các loại và linh kiện là nhóm mặt hàng có kim ngạch xuất khẩu lớn nhất sang thị trường Thái Lan |
Theo số liệu thống kê của Tổng cục hải quan, kim ngạch xuất khẩu hàng hóa Việt Nam sang thị trường Thái Lan trong tháng 8/2022 đạt 594,4 triệu USD, tăng 14,5% so với tháng trước đó.
Tính chung 8 tháng năm 2022 kim ngạch xuất khẩu hàng hóa Việt Nam sang thị trường Thái Lan đạt 4,8 tỷ USD, tăng 23,6% so với cùng kỳ năm trước.
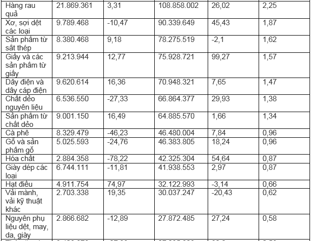
Trong 8 tháng đầu năm 2022, dẫn đầu kim ngạch xuất khẩu là nhóm hàng hàng điện thoại các loại và linh kiện, đạt 661,1 triệu USD, tăng 13,2% so với cùng kỳ năm trước, chiếm 13,5% tỷ trọng xuất khẩu.
Tiếp đến là nhóm hàng máy móc, thiết bị, dụng cụ và phụ tùng đạt 599,5 triệu USD, tăng 69,5%, chiếm 12,3% tỷ trọng xuất khẩu. Tiếp theo là mặt hàng dầu thô đạt 458,5 triệu USD, tăng 9,4%, chiếm 77,5% tỷ trọng.
Một số nhóm mặt hàng xuất khẩu sang Thái Lan trong 8 tháng đầu năm 2022 tăng trưởng khá so với cùng kỳ năm trước đó: Sản phẩm hóa chất tăng 99,8%; giấy và các sản phẩm từ giấy tăng 99,2%; phân bón các loại tăng 266,3%; than các loại tăng 130,8%.
![]() |
| Than là một trong những nhóm mặt hàng xuất khẩu sang Thái Lan có tăng trưởng khá |
Để đạt mục tiêu kim ngạch thương mại song phương 25 tỷ USD như Thủ tướng hai nước đã đặt ra, tại Kỳ họp lần thứ 4 Uỷ ban Hỗn hợp Thương mại Việt Nam – Thái Lan tổ chức ngày 20/4/2022 tại Băng Cốc (đoàn Việt Nam do Bộ trưởng Bộ Công Thương Nguyễn Hồng Diên dẫn đầu) hai bên đã thống nhất một số định hướng, giải pháp, kế hoạch hoạt động cụ thể cho quan hệ hợp tác giữa hai nước trong giai đoạn hậu Covid.
Đó là tiếp tục phối hợp chặt chẽ hơn trong việc tạo môi trường thuận lợi cho hoạt động xuất nhập khẩu của các doanh nghiệp. Trong khi đó cần phải chú ý hơn tới các giải pháp phát triển thương mại theo hướng cân bằng hơn, cùng có lợi.
Với một số biện pháp cụ thể như: giảm tối đa việc áp dụng và tìm phương hướng giải quyết các rào cản thương mại không cần thiết nhằm đảm bảo sự vận hành bình thường của các chuỗi cung ứng. Thiết lập kênh trao đổi thông tin giữa các cơ quan phụ trách lĩnh vực phòng vệ thương mại.
Đồng thời, phối hợp tổ chức các hoạt động xúc tiến thương mại tại Thái Lan và Việt Nam, khuyến khích các tập đoàn bán lẻ của Thái Lan làm cầu nối đưa hàng hoá Việt Nam đến với người tiêu dùng Thái Lan và người tiêu dùng tại các nước mà Thái Lan có đầu tư phát triển hệ thống phân phối.
Hai bên khuyến khích các đơn vị phụ trách thương mại điện tử tăng cường hợp tác trong lĩnh vực này, trong đó có việc trao đổi kinh nghiệm xây dựng hệ sinh thái xúc tiến thương mại số.
Số liệu xuất khẩu sang Thái Lan 8 tháng đầu năm 2022
(Tính toán số liệu công bố ngày 11/9 của TCHQ)
![]() |
![]() |
![]() |













