Xuất khẩu hàng hóa sang Ấn Độ tăng 38,6%
8 tháng năm 2022, kim ngạch xuất khẩu hàng hóa Việt Nam sang Ấn Độ đạt trên 5,4 tỷ USD, tăng 38,6% so với cùng kỳ năm trước.
| Xuất khẩu hàng hóa sang Ấn Độ tháng 1/2022 tăng trưởng Nghiên cứu việc Ấn Độ cấm xuất khẩu gạo, có các giải pháp phù hợp Xuất khẩu cao su sang Ấn Độ tăng mạnh |
![]() |
| Nhóm ngành hàng điện thoại các loại và linh kiện dẫn đầu kim ngạch xuất khẩu sang Ấn Độ |
Theo số liệu thống kê của Tổng cục hải quan, kim ngạch xuất khẩu hàng hóa Việt Nam sang Ấn Độ trong tháng 8/2022 đạt 755,9 triệu USD, tăng 21,5% so với tháng trước.
Tính chung 8 tháng năm 2022, kim ngạch xuất khẩu hàng hóa Việt Nam sang Ấn Độ đạt trên 5,4 tỷ USD, tăng 38,6% so với cùng kỳ năm trước.
Nhóm ngành hàng điện thoại các loại và linh kiện dẫn đầu kim ngạch xuất khẩu sang Ấn Độ. Trong tháng 8/2022 kim ngạch xuất khẩu mặt hàng này đạt 141 triệu USD, nâng tổng kim ngạch xuất khẩu 8 tháng năm 2022 lên 1,1 tỷ triệu USD, tăng 35,9% so với cùng kỳ năm 2021 và chiếm 20,3% tổng trị giá xuất khẩu hàng hóa Việt Nam sang thị trường này.
Tiếp đến là nhóm ngành hàng máy vi tính, sản phẩm điện tử và linh kiện, trong tháng 8/2022 đạt trên 125,1 triệu USD, nâng kim ngạch xuất khẩu 8 tháng đầu năm 2022 đạt 684,5 triệu USD, tăng 24,7% và chiếm 12,4% tổng trị giá hàng hóa Việt Nam xuất khẩu sang Ấn Độ.
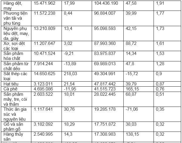
Trong 8 tháng đầu năm 2022, kim ngạch xuất khẩu một số nhóm mặt hàng có mức tăng trưởng so với cùng kỳ 8 tháng năm 2021: Hóa chất tăng 62,1%; giày dép các loại tăng 72,9%; xơ sợi dệt các loại tăng 88,7%; cà phê tăng 65,1%; thủy sản tăng 138,1%.
Ấn Độ là một trong những quốc gia có tốc độ tăng trưởng GDP cao nhất thế giới. Dân số Ấn Độ là khoảng 1,4 tỷ người với dung lượng thị trường lớn, tạo nhiều cơ hội cho các doanh nghiệp các nước, trong đó có Việt Nam.
Giống như các nước khác, kinh tế Ấn Độ cũng bị ảnh hưởng nặng bởi Covid 19 nhưng kinh tế đã dần phục hồi và lấy lại đà tăng trưởng trong năm 2021-22.
Số liệu xuất khẩu hàng hóa Việt Nam sang Ấn Độ 8 tháng năm 2022
(Tính toán số liệu công bố ngày 11/9 của TCHQ)
![]() |
![]() |
![]() |












