Kim ngạch xuất khẩu sang Lào năm 2022 tăng 10,3%
Theo số liệu thống kê của Tổng cục hải quan, kim ngạch xuất khẩu hàng hóa Việt Nam sang Lào trong năm 2022 đạt 656,3 triệu USD, tăng 10,3% so với năm 2021.
![]() |
| Mặt hàng rau quả xuất khẩu sang Lào năm 2022 tăng 286,8% |
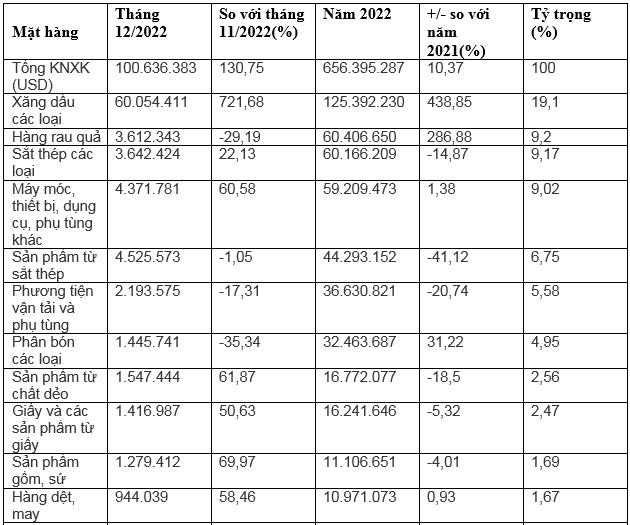
Mặt hàng có kim ngạch xuất khẩu lớn nhất sang thị trường Lào trong tháng 12/2022 là xăng dầu các loại, đạt 60 triệu USD, tăng 721,6% so với tháng trước đó, tính chung năm 2022 đạt 125,3 triệu USD, tăng 438% so với cùng kỳ năm 2021, chiếm 19% tỷ trọng xuất khẩu.
Tiếp đến là mặt hàng rau quả, đạt 60,4 triệu USD, tăng 286,8%, chiếm 9,2% tỷ trọng xuất khẩu trong năm 2022.
Ngoài ra Việt Nam còn xuất khẩu các mặt hàng khác sang thị trường Lào: xuất khẩu nhóm mặt hàng máy móc, thiết bị, dụng cụ phụ tùng khác; sản phẩm chất dẻo; hàng rau quả; bánh kẹo và các sản phẩm từ ngũ cốc; giấy và các sản phẩm từ giấy; xăng dầu; phân bón; gốm sứ.
Một số mặt hàng có kim ngạch xuất khẩu tăng trưởng khá trong năm 2022 so với cùng kỳ năm trước: Phân bón các loại tăng 31,2%; Clanhke và xi măng tăng 21,3%.
Để có thể tận dụng, phát huy được cơ hội phát triển, vượt qua các khó khăn, thách thức, đặc biệt là các tác động tiêu cực của đại dịch Covid-19, doanh nghiệp Việt Nam cần nâng cao tính chủ động để khai thác hết các lợi thế xuất khẩu sang Lào, gia tăng quy mô xuất khẩu.
Số liệu xuất khẩu hàng hóa Việt Nam sang Lào năm 2022
(Tính toán số liệu công bố ngày 11/1 của TCHQ)
![]() |
![]() |










