Hàng dệt may dẫn đầu kim ngạch xuất khẩu sang Nhật
Dẫn đầu kim ngạch xuất khẩu sang thị trường Nhật Bản trong 7 tháng đầu năm 2022 là hàng dệt may đạt 2,05 tỷ USD, chiếm 15,3% tỷ trọng xuất khẩu, tăng 11,9%.
| Những mặt hàng có mức tăng trưởng xuất khẩu sang Nhật Bản Sản phẩm nông thủy sản có nhiều tiềm năng xuất khẩu sang Nhật Bản Thương mại song phương Việt Nam - Nhật Bản đạt hơn 20 tỷ USD |
![]() |
| Hàng dệt may dẫn đầu kim ngạch xuất khẩu sang Nhật Bản |
Theo số liệu thống kê của Tổng cục hài quan, trong tháng 7/2022, kim ngạch xuất khẩu hàng hóa của Việt Nam sang thị trường Nhật Bản đạt 2,05 tỷ USD, tăng 0,6% so với tháng trước đó.
Tính chung 7 tháng năm 2022, xuất khẩu hàng hóa của Việt Nam sang thị trường Nhật Bản đạt 13,4 tỷ USD, tăng 13,3% so với cùng kỳ năm trước.
Dẫn đầu kim ngạch xuất khẩu trong 7 tháng đầu năm 2022 là: Hàng dệt may đạt 2,05 tỷ USD, chiếm 15,3% tỷ trọng xuất khẩu, tăng 11,9%.
Tiếp đến là máy móc, thiết bị, dụng cụ, phụ tùng khác đạt 1,59 tỷ USD, tăng 6,1%, chiếm 11,8%.
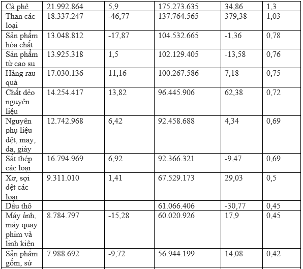
Một số mặt hàng có mức tăng trưởng xuất khẩu khá cao sang Nhật Bản trong 7 tháng đầu năm 2022 so với năm 2021: Hóa chất tăng 74,3%; than các loại tăng 379,3%; thủy tinh và các sản phẩm từ thủy tinh 44,9%; phân bón các loại tăng hơn 11 lần.
Đánh giá cao tiềm năng hợp tác thương mại và đầu tư giữa Việt Nam và Nhật Bản, nhất là liên quan tới mặt hàng nông sản, thực phẩm, theo các chuyên gia từ Nhật Bản, hàng nông sản, thực phẩm của Việt Nam ngày càng được người tiêu dùng Nhật Bản đón nhận.
Để tạo lực đẩy cho nông sản, thực phẩm Việt Nam tiến sâu vào thị trường Nhật Bản, Thương vụ Việt Nam tại Nhật Bản khuyến cáo, các DN không chỉ quan tâm tới chất lượng, giá cả mà cần tích cực củng cố, đẩy mạnh nâng cao hình ảnh, thương hiệu hàng Việt Nam.
Số liệu xuất khẩu hàng hóa Việt Nam sang Nhật Bản 7 tháng năm 2022
(Tính toán số liệu công bố ngày 11/8 của TCHQ)
![]() |
![]() |
![]() |
![]() |
![]() |














