Xuất khẩu sang Trung Quốc đạt hơn 35,6 tỷ USD trong 8 tháng
Trong 8 tháng đầu năm 2022, điện thoại các loại và linh kiện là nhóm mặt hàng đạt kim ngạch xuất khẩu lớn nhất, đạt 8,9 tỷ USD, tăng 11,3% so với cùng kỳ năm trước, chiếm 25,1% tỷ trọng xuất khẩu.
| Trái cây cấp đông, bảo quản lạnh phải đăng ký xuất khẩu sang Trung Quốc Xuất khẩu hàng hóa sang Trung Quốc đang tăng trưởng trở lại Xuất khẩu sang Trung Quốc 7 tháng đạt hơn 30 tỷ USD |
![]() |
| Điện thoại các loại và linh kiện là nhóm mặt hàng đạt kim ngạch xuất khẩu lớn nhất |
Theo số liệu thống kê của Tổng cục hải quan, kim ngạch xuất khẩu hàng hóa Việt Nam sang thị trường Trung Quốc trong 8 tháng đầu năm 2022 đạt hơn 35,6 tỷ USD, tăng 6,7% so với cùng kỳ năm trước.
Trong 8 tháng đầu năm 2022, điện thoại các loại và linh kiện là nhóm mặt hàng đạt kim ngạch xuất khẩu lớn nhất, đạt 8,9 tỷ USD, tăng 11,3% so với cùng kỳ năm trước, chiếm 25,1% tỷ trọng xuất khẩu.
Tiếp đến là nhóm hàng máy vi tính, sản phẩm điện tử và linh kiện đạt 7,6 tỷ USD, tăng 15,9%, chiếm 21,6 % tỷ trọng xuất khẩu.
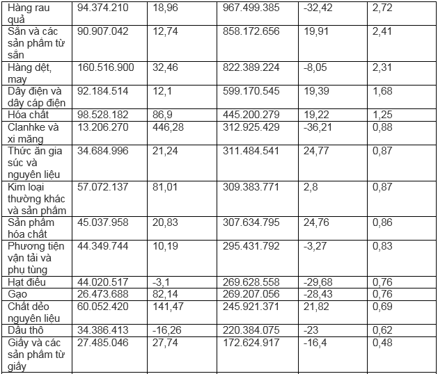
Những nhóm mặt hàng có kim ngạch xuất khẩu tăng trưởng trong 8 tháng đầu năm 2022 so với cùng kỳ năm trước: Máy ảnh, máy quay phim và linh kiện tăng 54,2%; hàng thủy sản tăng 82,7%; thức ăn gia súc và nguyên liệu tăng 24,7%.
Trung Quốc là thị trường xuất khẩu lớn thứ hai của Việt Nam, chỉ đứng sau Mỹ. Ngược lại, Việt Nam tiếp tục là đối tác thương mại lớn nhất của Trung Quốc trong ASEAN và đối tác thương mại lớn thứ 6 của Trung Quốc trên thế giới sau các nước Mỹ, Nhật Bản, Hàn Quốc, Đức và Australia.
Trung Quốc cũng là thị trường tiêu thụ nhiều hàng nông sản của Việt Nam, trong đó đặc biệt là các mặt hàng thủy sản, rau quả; hạt điều; cà phê; chè; gạo; sắn và sản phẩm sắn; cao su, sản phẩm từ cao su…
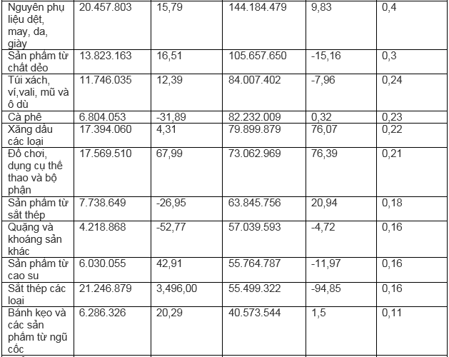
Số liệu xuất khẩu sang Trung Quốc 8 tháng năm 2022
(Tính toán số liệu công bố ngày 11/9 của TCHQ)
![]() |
![]() |
![]() |
![]() |













