Xuất khẩu hàng hóa sang Hà Lan tăng hơn 1,4 tỷ USD
Xuất khẩu hàng hóa của Việt Nam sang thị trường Hà Lan trong 7 tháng đầu năm 2022 đạt 5,95 tỷ USD, tăng 31,5% so với cùng kỳ năm trước, tương đương kim ngạch tăng thêm hơn 1,4 tỷ USD.
| Xuất khẩu sang Hà Lan đạt hơn 7,68 tỷ USD trong năm 2021 Việt Nam đứng vị trí thứ 5 cung cấp cá ngừ cho Hà Lan |
![]() |
| Xuất khẩu hàng hóa sang Hà Lan tăng hơn 1,4 tỷ USD |
Theo số liệu thống kê của Tổng cục hải quan, trong tháng 7 xuất khẩu sang Hà Lan đạt 881,6 triệu USD, tăng gần 39% so với cùng kỳ năm ngoái.
Kết quả đạt được trong tháng 7 đưa tổng kim ngạch xuất khẩu hàng hóa của Việt Nam sang thị trường Hà Lan trong 7 tháng đầu năm 2022 đạt 5,95 tỷ USD, tăng 31,5% so với cùng kỳ năm trước, tương đương kim ngạch tăng thêm hơn 1,4 tỷ USD.
Máy vi tính, sản phẩm điện tử và linh kiện là nhóm mặt hàng có kim ngạch xuất khẩu lớn nhất, đạt 188,9 triệu USD trong tháng 7/2022, nâng tổng kim ngạch xuất khẩu 7 tháng năm 2022 đạt 1,56 tỷ USD, tăng 58,9%, chiếm 26,2% tổng kim ngạch xuất khẩu.
Tiếp đến là nhóm mặt hàng máy móc, thiết bị dụng cụ phụ tùng đạt 188,1 triệu USD, nâng tổng kim ngạch 7 tháng năm 2022 1 tỷ USD tăng 34,4%; tiếp đến là hàng giày dép đạt 91,7 triệu USD, tính chung 7 tháng đầu năm đạt 601,9 triệu USD, chiếm 10,1% tỷ trọng xuất khẩu.
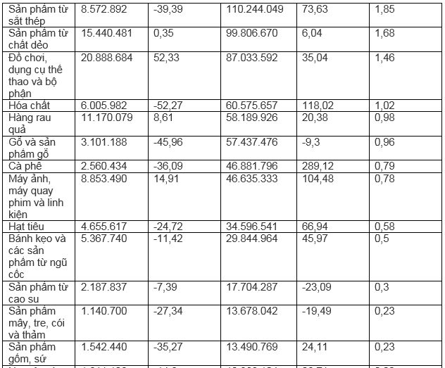
Những mặt hàng có kim ngạch xuất khẩu tăng trong 7 tháng năm 2022: Hàng thủy sản tăng 46,9%; sản phẩm từ sắt thép tăng 73,6%; cà phê tăng 289,1%; máy ảnh máy quay phim và linh kiện tăng 104,4%.
EU là một thị trường năng động. Cơ hội hợp tác lớn trong lĩnh vực thương mại rau, củ, quả tập trung trong các mối quan hệ hợp tác với các thương nhân Hà Lan - nơi có dung lượng nhập khẩu từ các nước đang phát triển tăng trưởng khá mạnh trong những năm qua.
Bởi từ lâu nay, Hà Lan đã được coi là cửa ngõ để vào thị trường EU, nơi trung chuyển hàng hóa hàng đầu châu Âu và thế giới, đối với các mặt hàng rau, củ, quả. Đặc biệt, EVFTA đang mang đến nhiều cơ hội mới cho các doanh nghiệp Việt Nam và Hà Lan.
Số liệu xuất khẩu hàng hóa Việt Nam sang Hà Lan 7 tháng năm 2022
(Tính toán số liệu công bố ngày 11/8 của TCHQ)
![]() |
![]() |
![]() |












