Những mặt hàng chính xuất khẩu sang Philippines 10 tháng đầu năm 2022
Việt Nam đang là nhà cung cấp uy tín, chất lượng cho Philippines ở các mặt hàng nông nghiệp (gạo, cà phê, hạt tiêu), thủy sản, bánh kẹo..., và các sản phẩm công nghiệp chế tạo như clanhke và xi măng, điện thoại,..
![]() |
| Những mặt hàng chính xuất khẩu sang Philippines 10 tháng đầu năm 2022 |
Theo số liệu thống kê của Tổng cục hải quan, kim ngạch xuất khẩu hàng hóa Việt Nam sang thị trường Philippines trong tháng 10/2022 đạt 390,9 triệu USD, tăng 10,9% so tháng 9/2022.
Tính chung 10 tháng đầu năm 2022, kim ngạch xuất khẩu đạt 4,3 tỷ USD, tăng 17% so với cùng kỳ năm 2021.
Việt Nam đang là nhà cung cấp uy tín, chất lượng cho Philippines ở các mặt hàng nông nghiệp (gạo, cà phê, hạt tiêu), thủy sản, bánh kẹo..., và các sản phẩm công nghiệp chế tạo như clanhke và xi măng, điện thoại, gạch ốp lát, sắt thép, dây và cáp điện, dệt may, giày dép... Philippines là bạn hàng truyền thống và là thị trường quan trọng đối với mặt hàng gạo của Việt Nam.
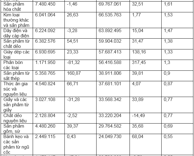
Gạo là mặt hàng có kim ngạch xuất khẩu lớn nhất, trong 10 tháng đầu năm 2022 đạt 1,2 tỉ USD, tăng 17% so với cùng kỳ năm trước, chiếm 29,2% tỷ trọng xuất khẩu.
Tiếp đến là nhóm hàng máy móc, thiết bị, dụng cụ và phụ tùng đạt 378,6 triệu USD, tăng 31,4%, chiếm 8,7% tỷ trọng xuất khẩu trong 10 tháng/2022. Tiếp theo là mặt hàng Clanhke và xi măng đạt 311,8 triệu USD, tăng 17,5%, chiếm 7,1% tỷ trọng xuất khẩu.
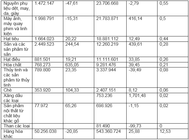
Nhìn chung trong 10 tháng đầu năm 2022 hầu hết các mặt hàng xuất khẩu sang thị trường Philippines đều tăng kim ngạch xuất khẩu so với 10 tháng năm 2021. Xuất khẩu thủy sản tăng 48%; xuất khẩu xơ, sợi dệt các loại tăng 415%; phân bón các loại tăng 317,4%; máy ảnh máy quay phim và linh kiện tăng 416,1%; sắn và các sản phẩm từ sắn tăng 439,6%; xăng dầu các loại tăng 17 lần.
Số liệu xuất khẩu sang Philippines 10 tháng đầu năm 2022
(Tính toán số liệu công bố ngày 11/11 của TCHQ)
![]() |
![]() |
![]() |











