Malaysia - thị trường xuất khẩu có tiềm năng rất lớn của Việt Nam
Hiện nay, Malaysia là một trong những thị trường xuất khẩu có tiềm năng rất lớn của Việt Nam tại khu vực ASEAN.
![]() |
Các sản phẩm xuất khẩu chủ yếu của Việt Nam sang thị trường Malaysia bao gồm máy móc thiết bị và phụ tùng; máy vi tính; điện tử và linh kiện; sắt thép các loại; xăng dầu, hóa chất.
Theo số liệu thống kê của Tổng cục hải quan, kim ngạch xuất khẩu hàng hóa sang thị trường Malaysia trong năm 2022 đạt 5,5 tỷ USD, tăng 26% so với năm 2021. Trong đó riêng tháng 12/2022 xuất khẩu đạt 403,3 triệu USD, giảm 1,3% so với tháng trước đó.
Dẫn đầu nhóm các mặt hàng xuất khẩu trong năm 2022 là nhóm mặt hàng máy vi tính, sản phẩm điện tử và linh kiện, đạt 1,1 tỷ USD, tăng 53,6% so với năm trước, chiếm tỷ trọng 20,7% tổng kim ngạch xuất khẩu.
Tiếp sau là nhóm hàng sắt thép các loại, đạt 653,6 triệu USD trong năm 2022, giảm 7,1%, chiếm 11,7% tổng kim ngạch xuất khẩu.
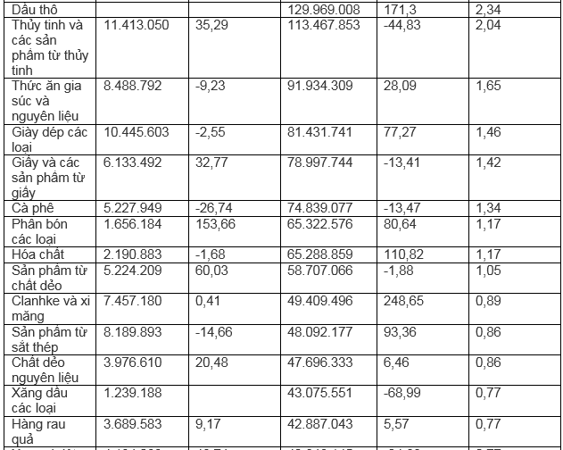
Một số nhóm mặt hàng có kim ngạch xuất khẩu tăng trưởng mạnh trong năm 2022 so với năm trước: Máy móc thiết bị, dụng cụ và phụ tùng tăng 60,7%; dầu thô 171,3%; phân bón các loại tăng 80,6%; hóa chất 110,8%.
Xuất khẩu sang Malaysia năm 2022
(Tính toán từ số liệu công bố của TCHQ)
![]() |
![]() |
![]() |
![]() |













