Xuất khẩu sang Nhật Bản đạt 24,2 tỷ USD trong năm 2022
Trong năm 2022, xuất khẩu hàng hóa sang Nhật Bản đạt 24,2 tỷ USD, tăng 20,3% so với cùng kỳ năm trước.
![]() |
| Hàng dệt may dẫn đầu kim ngạch xuất khẩu sang Nhật Bản |
Theo số liệu thống kê của Tổng cục hài quan, trong tháng 12/2022, kim ngạch xuất khẩu hàng hóa của Việt Nam sang thị trường Nhật Bản đạt 2,07 tỷ USD, giảm 1,4% so với tháng trước đó. Trong năm 2022, xuất khẩu đạt 24,2 tỷ USD, tăng 20,3% so với cùng kỳ năm trước.
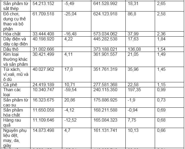
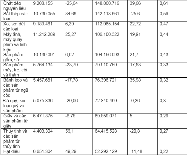
Dẫn đầu kim ngạch xuất khẩu trong năm 2022 là: Hàng dệt may đạt 4,07 tỷ USD, chiếm 16,8% tỷ trọng xuất khẩu, tăng 25,8%. Tiếp đến là máy móc, thiết bị, dụng cụ, phụ tùng khác đạt 2,7 tỷ USD, tăng 7,6,8%, chiếm 11,4%. Tiếp sau là nhóm mặt hàng phương tiện vận tải và phụ tùng đạt 2,5 tỷ USD, chiếm 10,4% tỷ trọng.
Một số mặt hàng có mức tăng trưởng xuất khẩu khá cao sang Nhật Bản trong năm 2022 so với năm 2021; Dầu thô tăng 136%; than các loại tăng 197,3%; phân bón các loại tăng 88,6%; đồ chơi dụng cụ thể thao và bộ phận tăng 86,8%; hạt tiêu tăng 59,9%.
Đánh giá cao tiềm năng hợp tác thương mại và đầu tư giữa Việt Nam và Nhật Bản, nhất là liên quan tới mặt hàng nông sản, thực phẩm, theo các chuyên gia từ Nhật Bản, hàng nông sản, thực phẩm của Việt Nam ngày càng được người tiêu dùng Nhật Bản đón nhận.
Để tạo lực đẩy cho nông sản, thực phẩm Việt Nam tiến sâu vào thị trường Nhật Bản, Thương vụ Việt Nam tại Nhật Bản khuyến cáo, các DN không chỉ quan tâm tới chất lượng, giá cả mà cần tích cực củng cố, đẩy mạnh nâng cao hình ảnh, thương hiệu hàng Việt Nam.
Số liệu xuất khẩu hàng hóa sang Nhật Bản năm 2022
(Tính toán số liệu công bố ngày 10/1/2023 của TCHQ)
![]() |
![]() |
![]() |
![]() |













