Xuất khẩu hàng hóa sang Pháp đạt 2,4 tỷ USD trong 8 tháng
Hàng dệt may là mặt hàng có kim ngạch xuất khẩu lớn nhất sang thị trường Pháp trong 8 tháng đầu năm 2022, đạt 467,3 triệu USD, tăng 35,3%, chiếm 18,8%.
| Gạo, cà phê, hồ tiêu, thủy sản Việt Nam ngày càng được người Pháp ưa chuộng Pháp - Đối tác thương mại hàng đầu của Việt Nam trong khối EU Xuất khẩu sang Pháp đạt mức tăng trưởng khá |
![]() |
| Hàng dệt may là mặt hàng có kim ngạch xuất khẩu lớn nhất sang thị trường Pháp |
Theo số liệu thống kê của Tổng cục hải quan, kim ngạch xuất khẩu hàng hóa Việt Nam sang Pháp trong tháng 8/2022 đạt 370 triệu USD, tăng 10,8% so với tháng trước đó.
Tính chung 8 tháng đầu năm đạt 2,48 tỷ USD, tăng 20,3% so với cùng kỳ năm trước.
Trong những năm gần đây, Pháp luôn là một trong những đối tác thương mại hàng đầu của Việt Nam trong khối Liên minh EU.
Hàng dệt may là mặt hàng có kim ngạch xuất khẩu lớn nhất sang thị trường pháp trong 8 tháng đầu năm 2022, đạt 467,3 triệu USD, tăng 35,3%, chiếm 18,8%. Tiếp đến là giày dép, đạt 440,5 triệu USD, tăng 30,5% so với cùng kỳ năm trước, chiếm 17,7% tổng kim ngạch xuất khẩu. Tiếp theo là nhóm mặt hàng điện thoại các loại và linh kiện đạt 422,1 triệu USD.
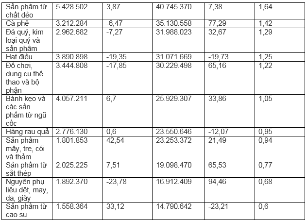
Trong 8 tháng đầu năm 2022, một số mặt hàng xuất khẩu sang Pháp có kim ngạch xuất khẩu tăng so với cùng kỳ năm trước đó: Đồ chơi dụng cụ thể thao và bộ phận tăng 65,1%; hàng thủy sản tăng 40,4%; cà phê tăng 77,2%; sản phẩm từ sắt thép tăng 65,5%.
Nông sản, thực phẩm nhập khẩu cung cấp tới 20% lượng tiêu dùng nội địa hằng năm tại Pháp. Mặc dù là cường quốc đại dương lớn thứ hai thế giới, song theo số liệu, gần 2/3 lượng tôm, cá tiêu thụ tại Pháp được nhập khẩu. Đồng thời, hơn một nửa lượng rau, quả tiêu dùng tại Pháp được nhập khẩu.
Ngoài nguyên nhân do diện tích trồng trọt liên tục giảm, một trong những lý do quan trọng khác là sự gia tăng không ngừng nhu cầu của thị trường đối với nhóm hàng nước trái cây và trái cây nhập khẩu (như trái bơ, xoài, thanh long…).
Mặc dù Pháp là quốc gia đứng đầu châu Âu về canh tác hữu cơ, nhưng với nhu cầu tăng cao, nguồn cung sản phẩm nông nghiệp hữu cơ của nước này cũng chỉ đủ cung cấp cho 67% nhu cầu nội địa. Vì vậy, tới 1/3 thực phẩm hữu cơ tiêu dùng nội địa tại Pháp phải nhập khẩu.
Số liệu xuất khẩu hàng hóa sang thị trường Pháp 8 tháng năm 2022
(Tính toán số iệu công bố ngày 10/9 của TCHQ)
![]() |
![]() |
![]() |












