Kim ngạch xuất khẩu hàng hóa sang Nhật Bản đạt 22,1 tỷ USD
11 tháng năm 2022, kim ngạch xuất khẩu hàng hóa của Việt Nam sang thị trường Nhật Bản đạt 22,1 tỷ USD, tăng 22% so với cùng kỳ năm trước.
![]() |
| Dẫn đầu kim ngạch xuất khẩu sang Nhật là hàng dệt may |
Theo số liệu thống kê của Tổng cục hài quan, trong tháng 11/2022, kim ngạch xuất khẩu hàng hóa của Việt Nam sang thị trường Nhật Bản đạt 2,1 tỷ USD, tăng 1,1% so với tháng trước đó.
Tính chung 11 tháng năm 2022, kim ngạch xuất khẩu hàng hóa của Việt Nam sang thị trường Nhật Bản đạt 22,1 tỷ USD, tăng 22% so với cùng kỳ năm trước.
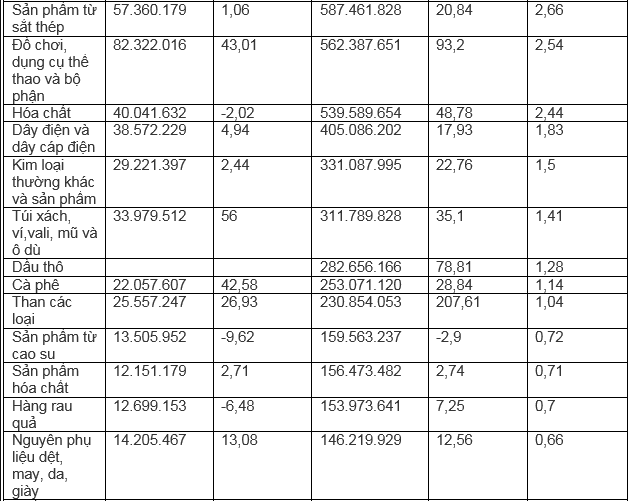
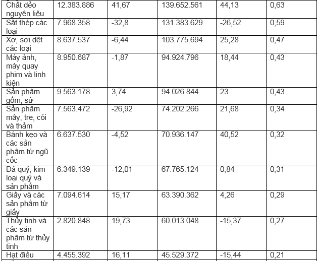
Dẫn đầu kim ngạch xuất khẩu trong 11 tháng đầu năm 2022 là: Hàng dệt may đạt 3,6 tỷ USD, chiếm 16,7% tỷ trọng xuất khẩu, tăng 27,2%. Tiếp đến là máy móc, thiết bị, dụng cụ, phụ tùng khác đạt 2,5 tỷ USD, tăng 9,8%, chiếm 11,4%. Tiếp sau là nhóm mặt hàng phương tiện vận tải và phụ tùng đạt 2,2 tỷ USD, chieesm10,3% tỷ trọng.
Một số mặt hàng có mức tăng trưởng xuất khẩu khá cao sang Nhật Bản trong 11 tháng đầu năm 2022 so với năm 2021; Hóa chất tăng 48,7%; than các loại tăng 207,6%; phân bón các loại tăng 620%; đồ chơi dụng cụ thể thao và bộ phận tăng 93,2%; hạt tiêu tăng 81,6%.
![]() |
| Than là một trong số các mặt hàng có mức tăng trưởng xuất khẩu khá cao sang Nhật Bản trong 11 tháng |
Đánh giá cao tiềm năng hợp tác thương mại và đầu tư giữa Việt Nam và Nhật Bản, nhất là liên quan tới mặt hàng nông sản, thực phẩm, theo các chuyên gia từ Nhật Bản, hàng nông sản, thực phẩm của Việt Nam ngày càng được người tiêu dùng Nhật Bản đón nhận.
Để tạo lực đẩy cho nông sản, thực phẩm Việt Nam tiến sâu vào thị trường Nhật Bản, Thương vụ Việt Nam tại Nhật Bản khuyến cáo, các DN không chỉ quan tâm tới chất lượng, giá cả mà cần tích cực củng cố, đẩy mạnh nâng cao hình ảnh, thương hiệu hàng Việt Nam.
Số liệu xuất khẩu sang Nhật Bản 11 tháng năm 2022
(Tính toán số liệu công bố ngày 11/12 của TCHQ)
![]() |
![]() |
![]() |
![]() |














